Назад



Рис. 27. Регулирование подачи насоса при помощи направляющего аппарата перед рабочим колесом


Рис. 28. Характеристики насоса и сети при регулировании подачи при помощи направляющего аппарата перед рабочим колесом


Рис. 29. Регулирование подачи насоса при помощи направляющего аппарата за рабочим колесом


Рис. 30. Характеристики насоса и сети при регулировании подачи при помощи направляющего аппарата за рабочим колесом


Рис. 31. Регулирование подачи насоса изменением ширины рабочего колеса
Изменение угла установки лопастей направляющего аппарата на входе в рабочее колесо насоса.
Согласно уравнению работы лопастного насоса

где V2u – окружная составляющая абсолютной скорости на выходе из рабочего колеса;
V1u – окружная составляющая абсолютной скорости на входе в рабочее колесо;
u2 – переносная скорость на выходе из рабочего колеса;
u1 –- переносная скорость на входе в рабочее колесо.

созданием подкрутки потока на входе () можно изменять развиваемый напор [2, 5, 8, 17, 19, 23, 35].
На рис. 27 показан диагональный насос [2], в котором перед рабочим колесом 1 расположен осевой поворотный направляющий аппарат, лопатки которого 2 имеют привод от регулирующего кольца 3. Поворотом кольца 3 изменяют подачу. Поворачивать лопатки можно как при работе насоса, так и при его остановке. Характеристики насоса и сети приведены на рис. 28. Экспериментальные исследования этого способа регулирования диагонального насоса показали [23], что при изменении подкрутки на входе подача изменяется примерно на 30 % при относительно большом изменении напора; изменение угла установки лопаток в пределах ±40° от исходного положения не вызывает значительного изменения КПД; в определенном диапазоне углов поворота лопаток всасывающая способность насосов практически не изменяется; входным направляющим аппаратом можно создать благоприятные условия обтекания лопастей рабочего колеса на режимах недогрузки и тем самым сузить зону неустойчивой работы.
Изменение угла установки лопастей направляющего аппарата на выходе из рабочего колеса насоса. Регулирование при помощи поворотных направляющих лопаток заключается в уменьшении или увеличении потерь на удар струи при входе в направляющий аппарат насоса. На рис. 29 показан насос с поворотными направляющими лопатками, а на рис. 30 — его характеристики.
Пределы регулирования работы насоса поворотом направляющих лопаток ограничены, так как угол между направлением струи и направляющими лопатками имеет очень небольшую величину. Если величина этого угла равна нулю, происходит безударный вход струи в направляющий аппарат [1, 3, 5, 16, 19].
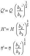
Изменение ширины рабочего колеса. При изменении ширины лопасти новые характеристики Q-H можно получить с использованием зависимостей [29]

На рис. 31 схематически изображен насос с изменяемой шириной рабочего колеса. Ширина рабочего колеса 1 регулируется путем перемещения диска 2, который имеет направляющий цилиндр, опирающийся на диск 3 колеса. Одновременно с перемещением диска на ту же величину перемещается диафрагма 4, имеющая форму спиральной камеры 5 и направляющий цилиндр 6 для ликвидации перекосов. Перемещение диска и диафрагмы производится синхронно работающими силовыми гидроцилиндрами 7 и 8, причем диску движение передается штоком 9, проходящим внутри полого вала рабочего колеса [30].