Назад



Рис. 25. Характеристики насоса
и сети при регулировании изменением частоты вращения рабочего колеса



Рис. 26. Характеристики насоса
и сети при регулировании изменением частоты вращения рабочего колеса и дросселированием


Изменение частоты вращения рабочего колеса. Этот способ регулирования в экономическом отношении значительно эффективнее остальных.
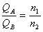
При изменении частоты вращения рабочего колеса насоса с n1 до n2 его характеристики Q-H, Q-N, и Q- изменяются по закону подобия:
     
где QA, НA, NA – подача, напор и мощность насоса, соответствующие частоте вращения рабочего колеса n1;
QB, НB, NB – подача, напор и мощность насоса, соответствующие частоте вращения рабочего колеса n2.
При неизменной характеристике сети 4 (рис. 25) подача насоса уменьшится с QA до QB [1-8, 16, 17, 19, 23, 29, 35, 40].
Так как во всех режимах работы напор насоса равен сопротивлению сети, сокращаются непроизводительные потери в системе «насос-сеть». Экономичность при регулировании насосов изменением частоты вращения n снижается только от того, что рабочая точка системы при изменении n отклоняется от режима максимального КПД. Это отклонение тем больше, чем больше статическая составляющая сопротивления сети.
Данный способ достаточно просто может быть реализован, если насосы имеют привод от двигателей с переменной частотой вращения: турбин, гидродвигателей и др. Возможные методы изменения частоты вращения лопастных насосов представлены в табл. 1 (по материалам [1, 8, 16]).
В большинстве случаев насосы имеют привод от асинхронных короткозамкнутых электродвигателей, частота вращения которых не регулируется. Для регулирования частоты вращения насосов с приводом от асинхронного короткозамкнутого электродвигателя рекомендуются следующие системы [8]:
  • с механическим редуктором (с регулируемым числом передачи);
  • с электромагнитной муфтой скольжения;
  • с электромагнитной муфтой с явно выраженными полюсами;
  • с индукторными муфтами;
  • с гидромуфтами (гидротрансформаторами).
Во всех этих случаях асинхронный двигатель работает в номинальном режиме, однако более чем в два раза увеличиваются габаритные размеры агрегата. Для электромагнитных муфт необходим источник постоянного тока. КПД систем не превышает 0,6.
Регулировать асинхронные короткозамкнутые двигатели можно за счет изменения частоты в сети, числа пар полюсов двигателя или скольжения (табл. 2) [1, 8].
КПД электродвигателя зависит от его нагрузки, т.е. отношения рабочей мощности насоса к номинальной мощности двигателя. При регулировании подачи насоса частотой вращения с помощью асинхронного двигателя с фазным ротором необходимо учитывать также потери в регулирующем реостате, определяемые из выражения [22]:

где – полный КПД двигателя с реостатом;
– КПД асинхронного двигателя, зависящий от нагрузки;
n – рабочая частота вращения вала двигателя;
nн – номинальная частота вращения вала двигателя.
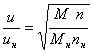
При регулировании частоты вращения с помощью тиристорного преобразователя частоты его КПД определяют в зависимости от отношения выходного рабочего напряжения к номинальному [38]:

где u, М, n – рабочие значения напряжения, момента и частоты вращения вала насоса;
uн, Mн, nн – номинальные значения тех же величин.
Для регулирования подачи насоса предложен комбинированный способ, сочетающий изменение частоты вращения рабочего колеса насоса с дросселированием [31]. На рис. 26 изображены характеристики насоса 1 и сети 3. Подача насоса, определяемая их пересечением, равна Qa. Пусть требуется изменить подачу насоса до величины Qc и при этом напор должен быть минимально допустимым и в процессе регулирования не снижаться меньше Ндоп. Для этого сначала осуществляют дросселирование трубопровода до расхода, определяемого соотношением

(характеристика сети определяется кривой 4), а затем уменьшают частоту вращения рабочего колеса до значения

где nо – исходная частота вращения насоса.
При этом рабочая точка переходит в точку С, а характеристика насоса определяется кривой 2.