Назад



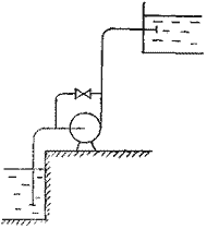
Рис. 9. Регулирование подачи лопастного насоса перепуском (байпасированием)


Рис. 10. Характеристики насоса и сети при регулировании перепуском (байпассированием)


Рис. 11. Регулирование подачи лопастного насоса перепуском с эжектированием



Рис. 12. Схема осевого жестколопастного насоса, регулируемого способом «перепуск с подкруткой»


Рис. 13. Характеристики насоса и сети при регулировании «перепуском с подкруткой»


Рис. 14. Удельный вес
уменьшения подачи от закручивания потока перед рабочим колесом осевого
насоса при регулировании
«перепуском с подкруткой»
Перепуск (байпасирование). При регулировании подачи насоса данным способом необходимый расход жидкости в системе обеспечивается за счет отвода части перекачиваемой насосом жидкости из напорного трубопровода во всасывающий по перепускному трубопроводу (рис. 9). На рис. 10 представлены характеристики насоса Q-H 1 и Q-N 5, сети 2, перепускного трубопровода 3, суммарная характеристика сети и перепускного трубопровода 4. Если требуется уменьшить подачу в систему
с QA до QНУ, открывают клапан на перепускном трубопроводе. За счет введения параллельно основной линии 2 трубопровода 3 суммарная характеристика сети станет положе (кривая 4) и общая подача насоса увеличивается до значения QB. При этом по байпасной линии будет циркулировать расход q, а в сеть поступать расход Q . Напор, развиваемый насосом, уменьшится с HА до величины HB, а мощность — с величины NA до NB.
Данный способ регулирования более экономичен для насосов, у которых потребляемая мощность снижается с увеличением подачи. У центробежных насосов регулирование перепуском приведет к возрастанию мощности насоса и может вызвать перегрузку электродвигателя [1, 5, 6, 15, 16, 18, 19].
Перепускаемый с напорной стороны во всасывающую поток жидкости обладает некоторой энергией. Если при регулировании перепуском не происходит полезной передачи энергии перепускаемой жидкости потоку, подходящему к рабочему колесу, потери затраченной мощности можно определить по формуле

где QH – подача насоса
QП – перепускаемый расход
NH – мощность, потребляемая насосным агрегатом
Энергию перепускаемого потока можно рационально использовать двумя способами:
1) увеличением давления во всасывающей полости насоса путем создания эжектирующего эффекта перепускаемым потоком;
2) для закручивания потока перед рабочим колесом.
При первом способе — перепуске с эжектированием — последовательно основному насосу включается в работу водоструйный насос (рис. 11), снимая часть преодолеваемого напора с основного насоса, так что основной насос работает при более низком напоре и улучшенной кавитационной обстановке [8].
В Среднеазиатском научно-исследовательском институте ирригации имени В.Д. Журина (САНИИРИ) при участии автора разработан способ регулирования подачи «перепуск с подкруткой» [11]. Суть его состоит в том, что энергия перепускаемой жидкости используется для закручивания потока перед рабочим колесом насоса. Подача насоса уменьшается как за счет перепуска, так и за счет закручивания потока перед рабочим колесом. Схема устройства регулирования подачи приведена на рис. 12. При открытии дроссельной заслонки 6 поток воды из напорного трубопровода 2 по перепускной трубе 4 поступает в тангенциальный подвод 5 и далее через сопла 7 инжектируется по касательной к потоку во всасывающей трубе 3. При тангенциальном воздействии на периферийную часть поток перед рабочим колесом 1 приобретает момент скорости К1 (закручивается) [11].

где Qп – перепускаемый расход
Qус – подача насосной установки
Dрк – диаметр рабочего колеса
b, h – ширина и высота соплового отверстия
zc – количество сопел
На рис. 13 приведены паспортная характеристика насоса 1, характеристики сети 2 и перепускного трубопровода 3, а также суммарная характеристика сети и перепускного трубопровода 4. Рабочий режим нерегулируемого насоса определяется точкой А (подача насосной установки — QА). При открытии дроссельной заслонки, установленной в перепускном трубопроводе, параллельно характеристике сети 2 вводится перепускной трубопровод. Рабочий режим установки определяется точкой А’. Перепускаемая жидкость закручивает поток перед рабочим колесом насоса. Так как закручивание потока осуществляется по ходу вращения рабочего колеса, происходит псевдоуменьшение частоты вращения рабочего колеса n на частоту вращения закрученного потока жидкости . Параметры насоса - напор, подача и потребляемая мощность изменятся:

где Q, Н, N – подача, напор и мощность насоса при номинальной частоте вращения рабочего колеса
Q’, Н’, N’ – подача, напор и мощность насоса при частоте вращения рабочего колеса, уменьшенной на частоту вращения закрученного потока .
Рабочий режим насоса определится точкой В, находящейся на «виртуальной» характеристике насоса 5. Подача насосной установки будет равна (Qв – Qc), где Qв – расход жидкости, проходящий через насос; Qc – расход жидкости в перепускном трубопроводе.
Проведенными исследованиями установлен удельный вес влияния закрутки потока перед рабочим колесом насоса ОГ 8-25 на уменьшение подачи насосной установки (рис. 14) [24].