Поиск Карта сайта English
Главная Новости База знаний Инструменты Проекты Организации и процессы
База знаний

Режим орошения и его динамика

Режим орошения определяется нормой, числом и сроками полива выращиваемых культур. Он зависит от биологических особенностей растений, климатических, почвенных и гидрологических условий орошаемых земель.

Вода является необходимым элементом плодородия. Содержание влаги в почве в естественных (природных) условиях может изменяться от состояния увлажнения на уровне гигроскопической влаги до уровня полной влагоемкости. Для растений нежелательны как недостаток, так и избыток влаги. Нормальные условия роста создаются тогда, когда в почве 40-50% пор занято воздухом, остальные промежутки между почвенными частицами заполнены водой. Обычно такое увлажнение наблюдается при насыщении почвы влагой до состояния полевой влагоемкости, определяемой в основном капиллярной скважностью почвы.

Увлажнение почвы не остается неизменным на протяжении периода вегетации, поэтому в природных условиях сложно постоянно поддерживать оптимальную увлажненность. Растения снижают интенсивность роста при уменьшении влажности от оптимальной величины, но рост их не прекращается. Снижать влажность до критической величины, называемой влажностью завядания, недопустимо. В качестве показателя влажности завядания условно принимается величина, характеризующаяся содержанием влаги в почве на уровне полуторной или двойной максимальной гигроскопичности. Завядание наступает для супесчаных почв при объемной влажности 4-6 %, легких суглинков - 6-8 %, средних суглинков - 8-10%, тяжелых суглинков - 10-14%.

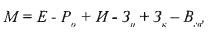
В течение периода вегетации орошение участков проводят неоднократно. Период времени, в течение которого возникает надобность в поливах, называется оросительным периодом. Длительность его зависит от продолжительности вегетации орошаемой породы. Количество воды, которое подается на 1 га орошаемой площади за оросительный период, называется оросительной нормой. Эта норма вычисляется как разница между водопотреблением растений и естественными ресурсами влаги в почве в течение вегетации. Величину оросительной нормы М определяют по уравнению:

где

Е - транспирация растениями (водопотребление);

P - количество осадков, поступающее в течение вегетации в активный слой почвы (АСП);

Зн - запас влаги в АСП в начале вегетации;

3 - запас влаги в АСП в конце вегетации;

Вгв - количество влаги, поступающее в АСП от грунтовых вод;

И - испарение в период вегетации.

Оросительная норма должна обеспечивать увлажнение только активного слоя почвы без сброса воды в нижние горизонты, а на орошение, наоборот, следует использовать влагу грунтовых вод. Поэтому на землях с близким залеганием грунтовых вод оросительную норму следует уменьшать.

При современных способах полива воду на орошаемую площадь обычна подают отдельными поливами. Объем воды, который требуется подавать на 1 га орошаемой площади за один полив, называется поливной нормой, или нормой полива.

Величина поливной нормы зависит от степени увлажнения почвы к началу полива, величины потребления воды растениями в данную фазу развития, влагоемкости почвы, глубины слоя промачивания почвы. На норму полива оказывает влияние возможность регулирования подачи воды и водного режима, а также техника полива. Выше отмечалось, что завядание растений начинается при влажности на уровне полуторной или двойной максимальной гигроскопичности, однако полив следует начинать при величине увлажненности выше этой критической величины. Например, после посевов семян в фазе развития всходов, когда растения не имеют развитой корневой системы и сильно страдают при иссушении верхних горизонтов почвы, необходимо поддерживать более высокую увлажненность почвы. Растения, сформировавшие корневую систему и надземную часть, поглощая питательные вещества из почвы, интенсивно транспирируя влагу, вызывают более глубокое иссушение почвенных горизонтов, но медленнее снижают интенсивность роста при большем иссушении почвы, чем в стадии развития всходов. Исключительное значение имеют влагоемкость и структура почвы, которые в значительной степени определяются качеством агротехники и характеризуют культуру производства. Устанавливая поливную норму, необходимо, чтобы после полива вода не уходила в нижележащие слои почвы, так как это ведет к потерям оросительной воды, может вызвать подъем грунтовых вод и способствовать засолению почв.

Устанавливая слой промачивания в питомниках, следует учитывать, что увеличение глубины промачивания способствует развитию глубокой корневой системы. При выкопке посадочного материала значительная часть корней подрезается. Это снижает приживаемость посадочного материала на лесокультурной площади или при посадке в школьные отделения питомников. Поэтому в питомниках по выращиванию сеянцев древесно-кустарниковых пород глубина промачивания почвы принимается равной 10-30 см в зависимости от фазы развития и вида растений. В школьных отделениях глубина протачивания увеличивается до 0,4-0,5 м, в молодых садах - до 0,6-1,0 м, в парках - до 1,0-1,2 м.

Поливную норму рассчитывают по формуле:

где

Н - слой промачивания;

α - объемная масса почвы;

rпр-r0 - влажность почвы после полива и влажность почвы до полива, % к абсолютно сухой почве.

Объемная масса почвы зависит от механического состава, составляя 1,38 - для супесчаных почв, 1,40 - для легкосуглинистых, 42 - для суглинистых, 1,45 - для тяжелосуглинистых и 1,50 - для глин. Нормы полива, изменяясь от вида древесных пород и фаз развития древостоя, зависят и от типа почв.

Поливной режим питомников. Количество поливов изменяется в широких пределах в зависимости от вида и возраста древесных пород, климатических условий, водно-физических свойств почв, глубины грунтовых вод. В зоне избыточного увлажнения поливы в питомниках требуются только после посева и в фазе развития всходов, а также периодически в засушливые периоды и годы. В зоне неустойчивого увлажнения количество поливов может достигать 5-7, а в зоне недостаточного увлажнения - 8-10 и более.

Поливной режим садов и лесонасаждений. При орошении садов почва увлажняется до глубины 1 м, так как активная часть корневой системы располагается до этой глубины. В садах поливная норма зависит от вида плодовых и ягодниковых культур, их возраста и механического состава почвы. В питомниках по выращиванию посадочного материала плодовых проводят не менее 3-5 поливов при поливной норме от 150-200 м3/га для супесчаных почв до 250-350 м3/га для тяжелых суглинков. В молодом неплодоносящем саду достаточно 2-3-х поливов в июне и июле при поливной норме 300-500 м3/га. В плодоносящем яблоневом саду первый полив необходим после опадения избыточной завязи, второй - за две-три недели до созревания плодов летних сортов. Например, в Московской области за вегетационный период рекомендуется не более трех поливов с нормой 400-600 м3/га. Оросительная норма ориентировочно составляет 1100-1300 м3/га.

Ягодники поливают трижды: в период зеленой завязи на растениях, при созревании ягод и после уборки урожая для формирования плодовых почек следующего года.

В древесных насаждениях поливы целесообразны при создании полезащитных полос и парков.

Орошение древесных насаждений естественного происхождения производится в редких случаях, и наиболее приемлемым способом орошения является устройство лиманов.

Источник: www.skyrage.ru

Избранная библиография

Монографии и брошюры

Зарубежный опыт расчета режима орошения сельскохозяйственных культур (1961)